티스토리 뷰
반응형

임베디드 하드웨어/펌웨어 설계자로서 괜찮은 책을 찾은 것같아 공부해보려 합니다. 책에서 사용하고 있는 테스트 보드는 ST사의 ⟪NUCLEO-F767ZI⟫이니 준비하고 따라해 봅시다.

저자 Brian Amos에 대해
2012년부터 FreeRTOS를 기반으로한 임베디드 시스템 엔지니어입니다. 현재 통신 업계의 수석 펌웨어 엔지니어로, 위성 통신 분야의 지상에서 사용되는 임베디드 시스템을 개발하고 있습니다. 이전에는 고정밀 테스트 장비를 신속하게 개발하기 위해 유연한 아키텍처를 만드는 엔지니어 팀을 이끌었습니다. 이에 앞서, 그는 산업용 기계의 유지보수 시기를 예측하는 데 사용되는 메쉬 네트워크 에너지 수집 센서를 이용한 작업을 수행해 왔습니다.
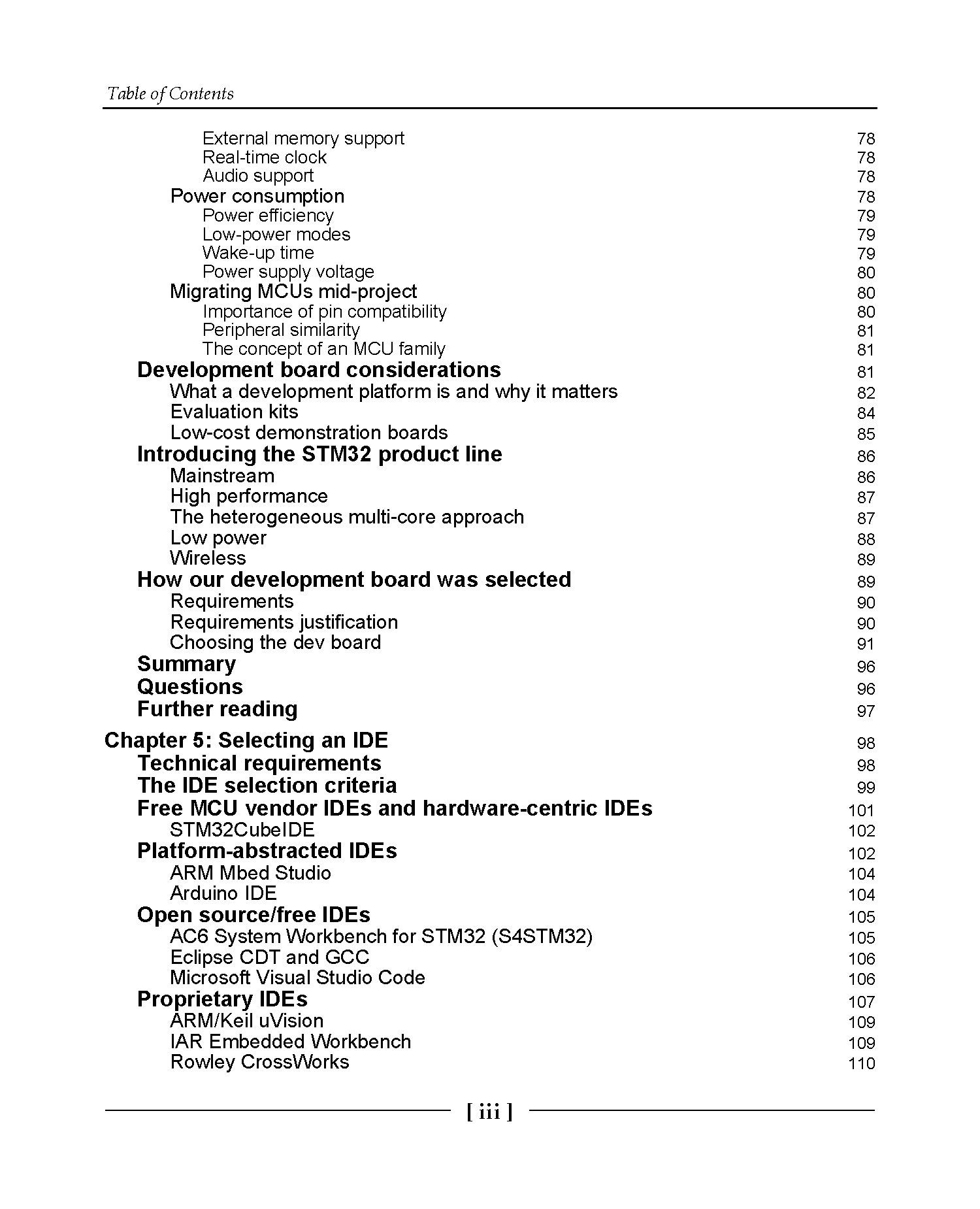
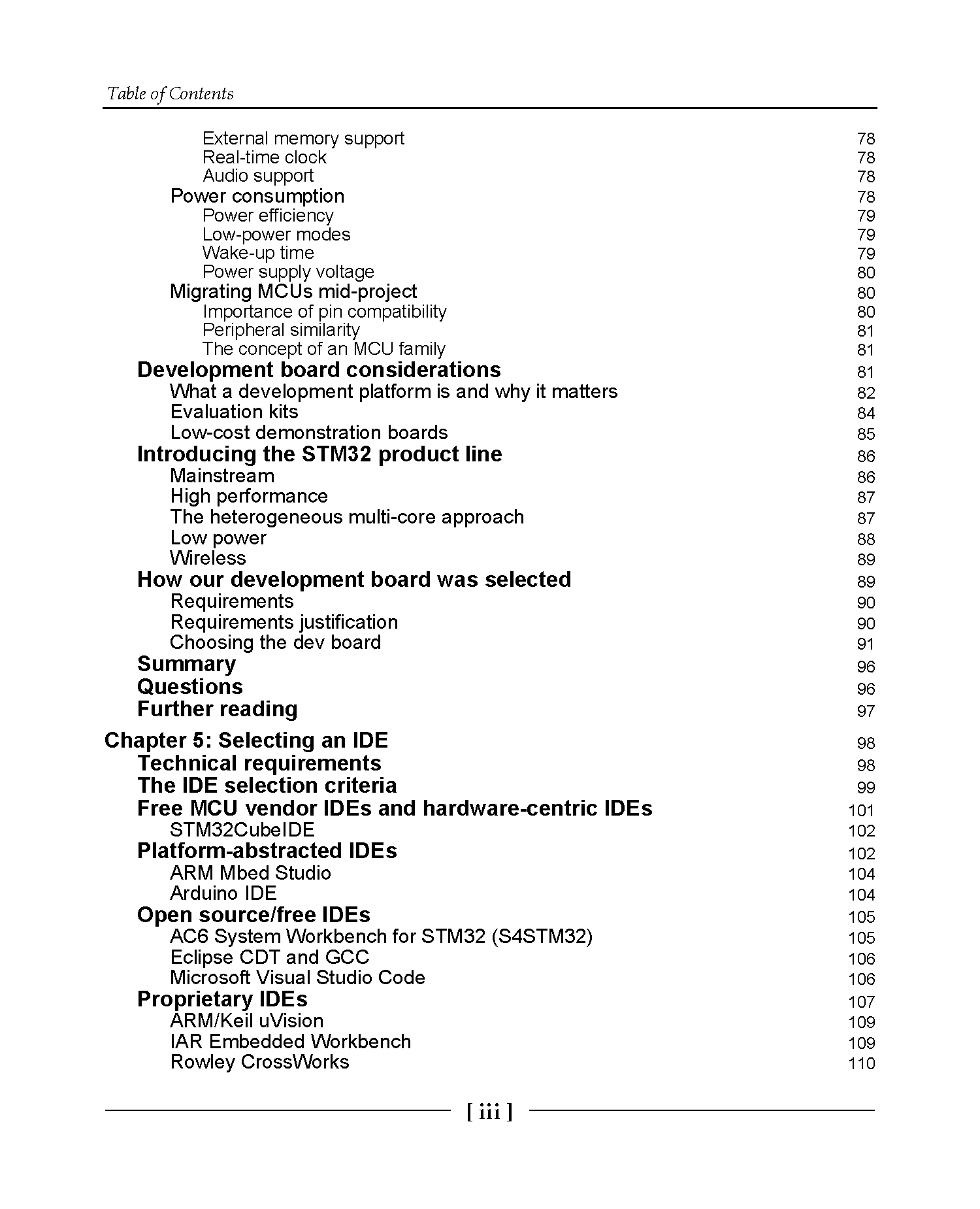
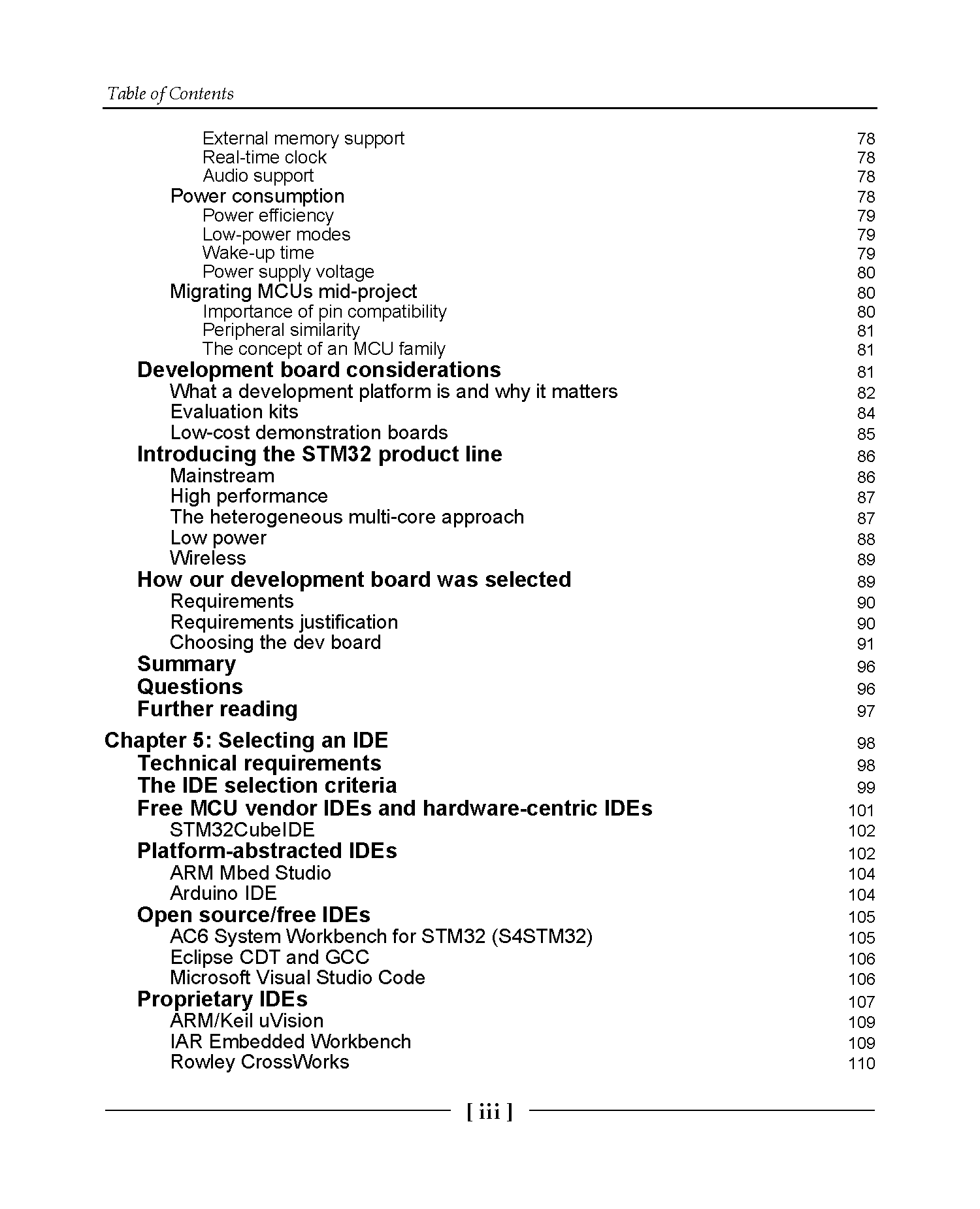
차례











반응형
'Digital Developer' 카테고리의 다른 글
| Hands-On RTOS with Microcontrollers #002 (0) | 2020.08.22 |
|---|---|
| Hands-On RTOS with Microcontrollers #001 (0) | 2020.08.22 |
| 애플 펜슬 (0) | 2020.08.15 |
| Visual Studio Code 컬러 테마 'Remedy' (0) | 2020.08.15 |
| 아이패드프로 충전기, 맥북프로 전원으로 사용하기 (0) | 2020.08.08 |
댓글